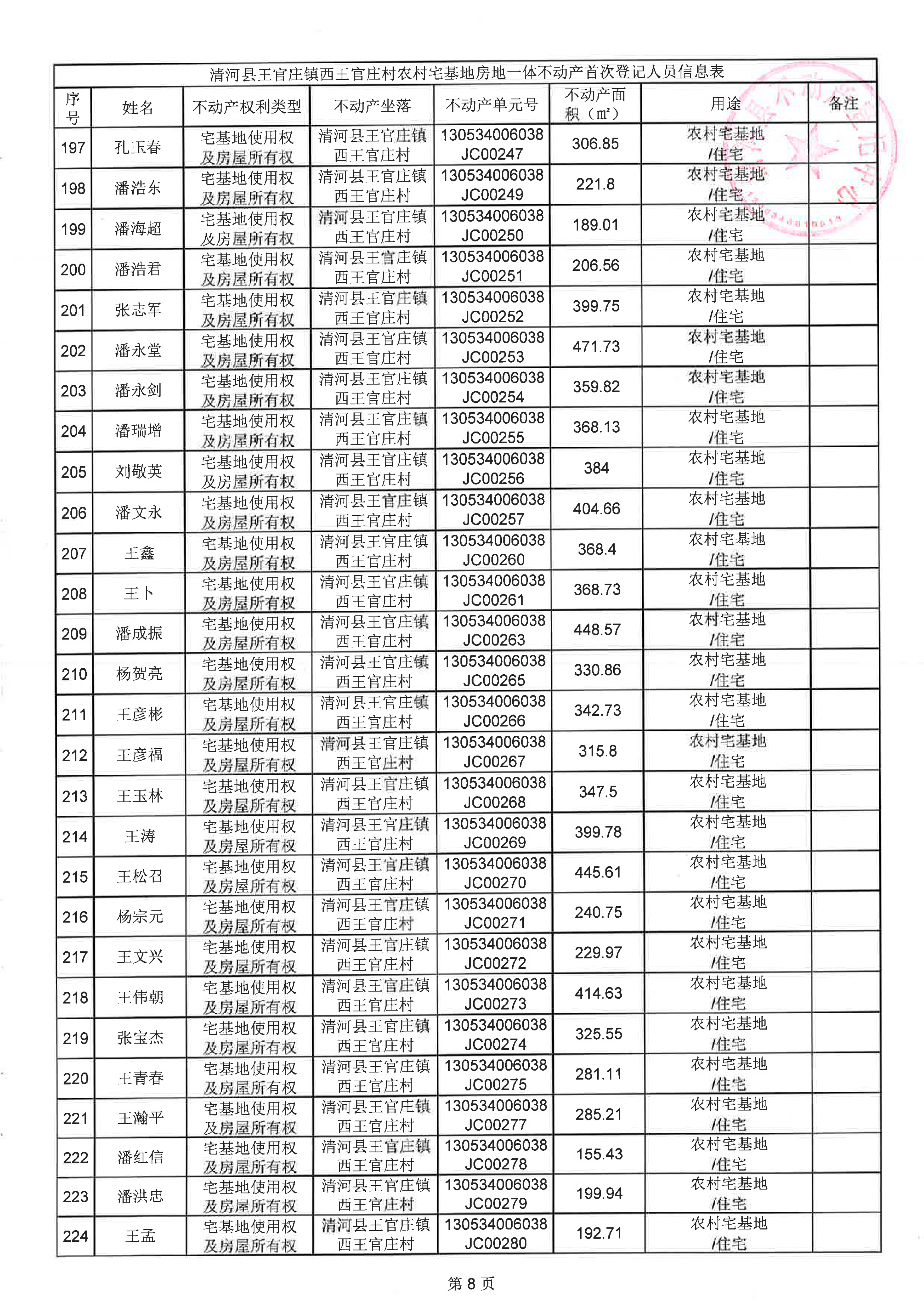
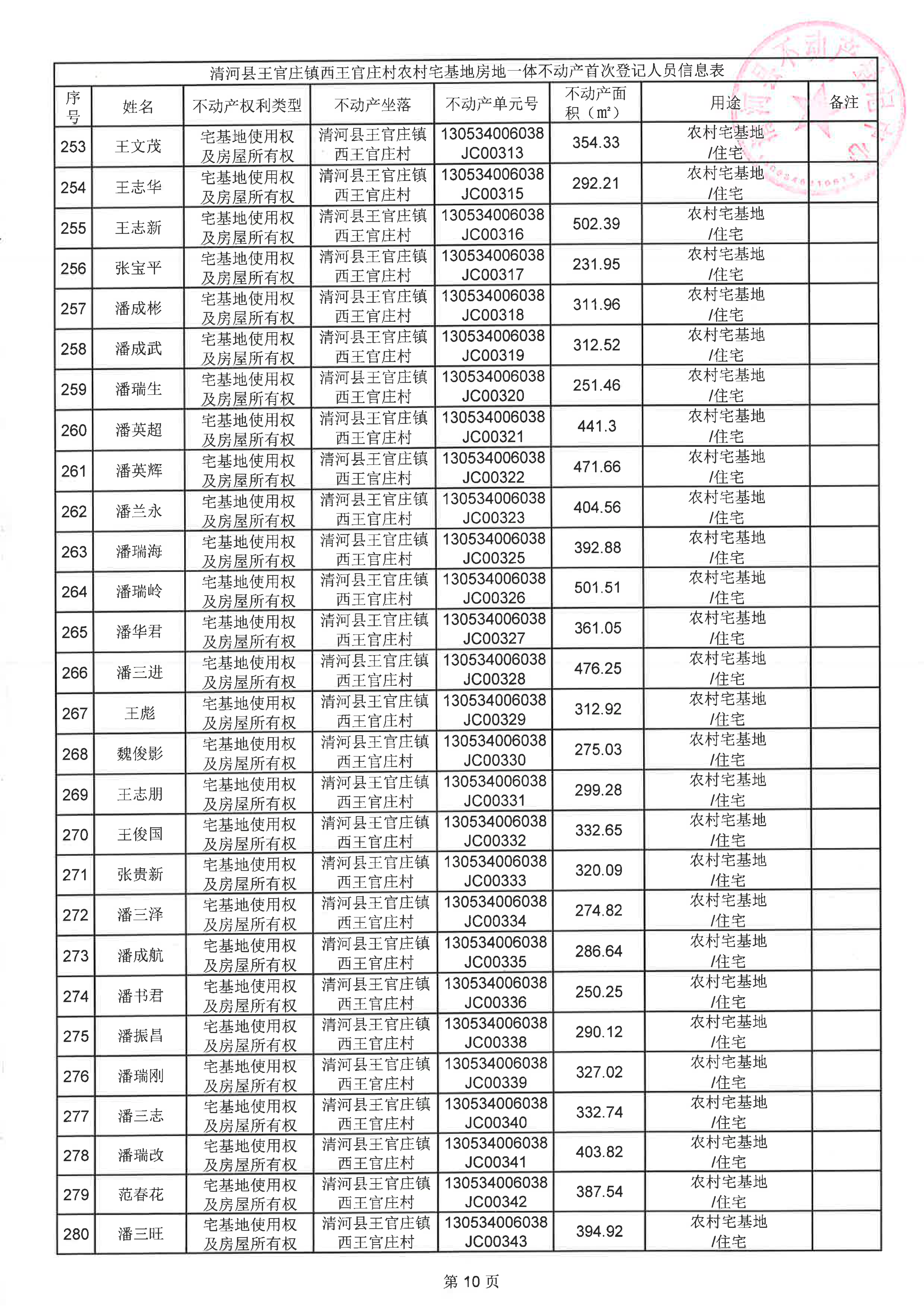
清河县王官庄镇西王官村农村宅基地房地一体不动产首次登记人员信息表
体裁分类:公告公示 主题分类:国土资源、能源 发布时间: 2025-09-26 发布机构:自然资源和规划局 浏览次数:84 字体:[大 中 小]

page_003.png

page_002.png

page_001.png

page_004.png

page_000.png

page_012.png

page_009.png

page_005.png

page_011.png

page_007.png

page_006.png

page_008.png

page_010.png