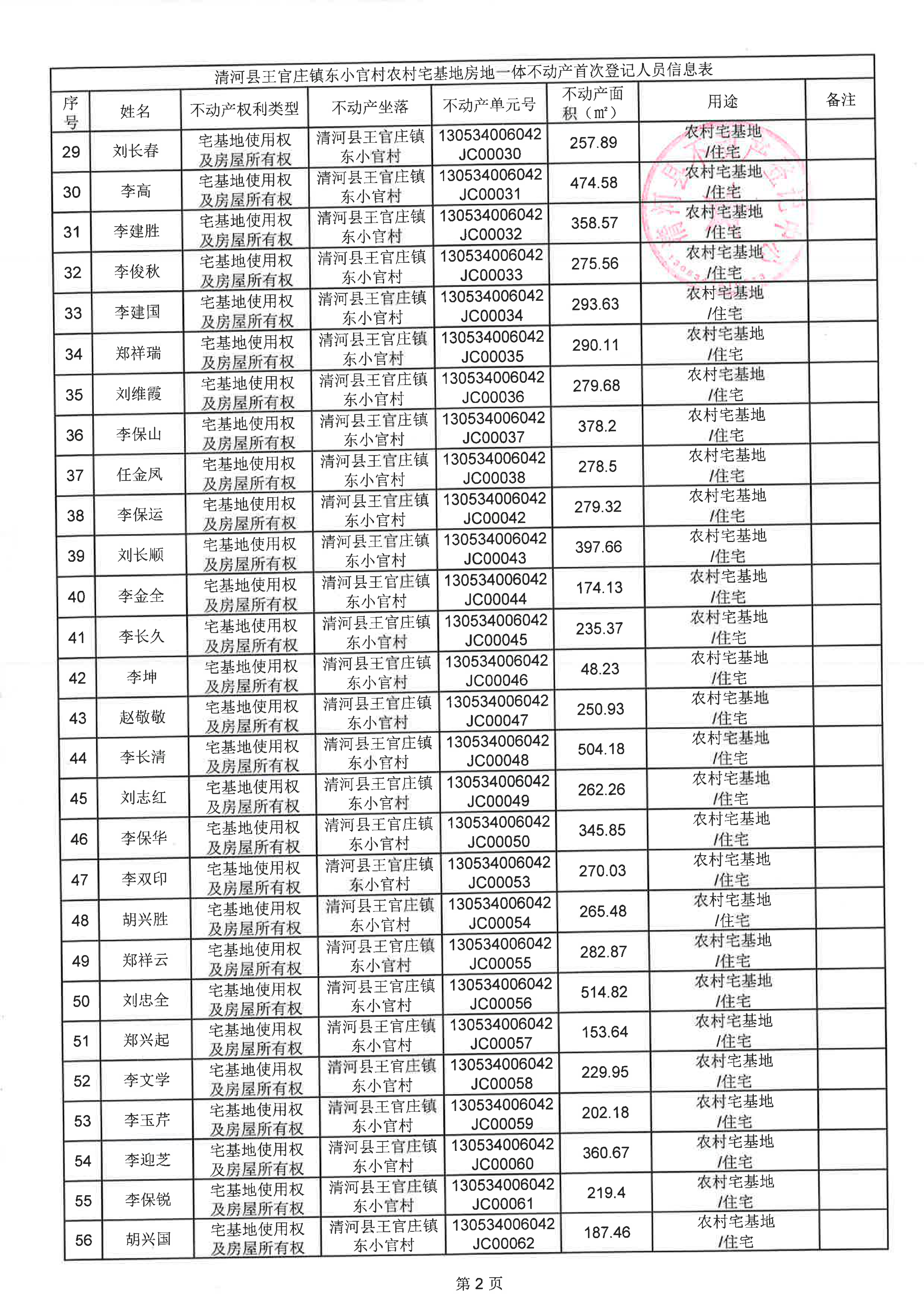
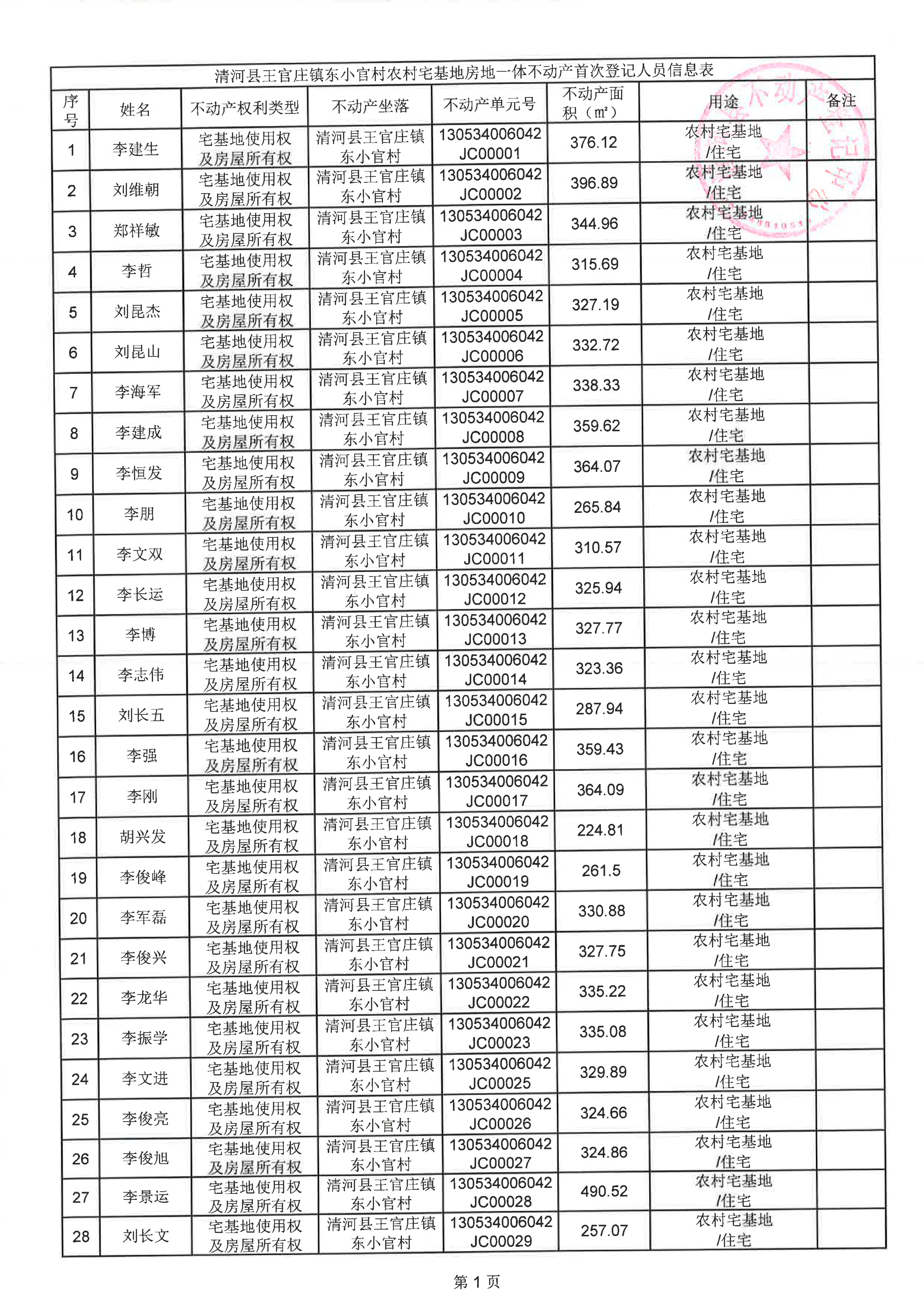
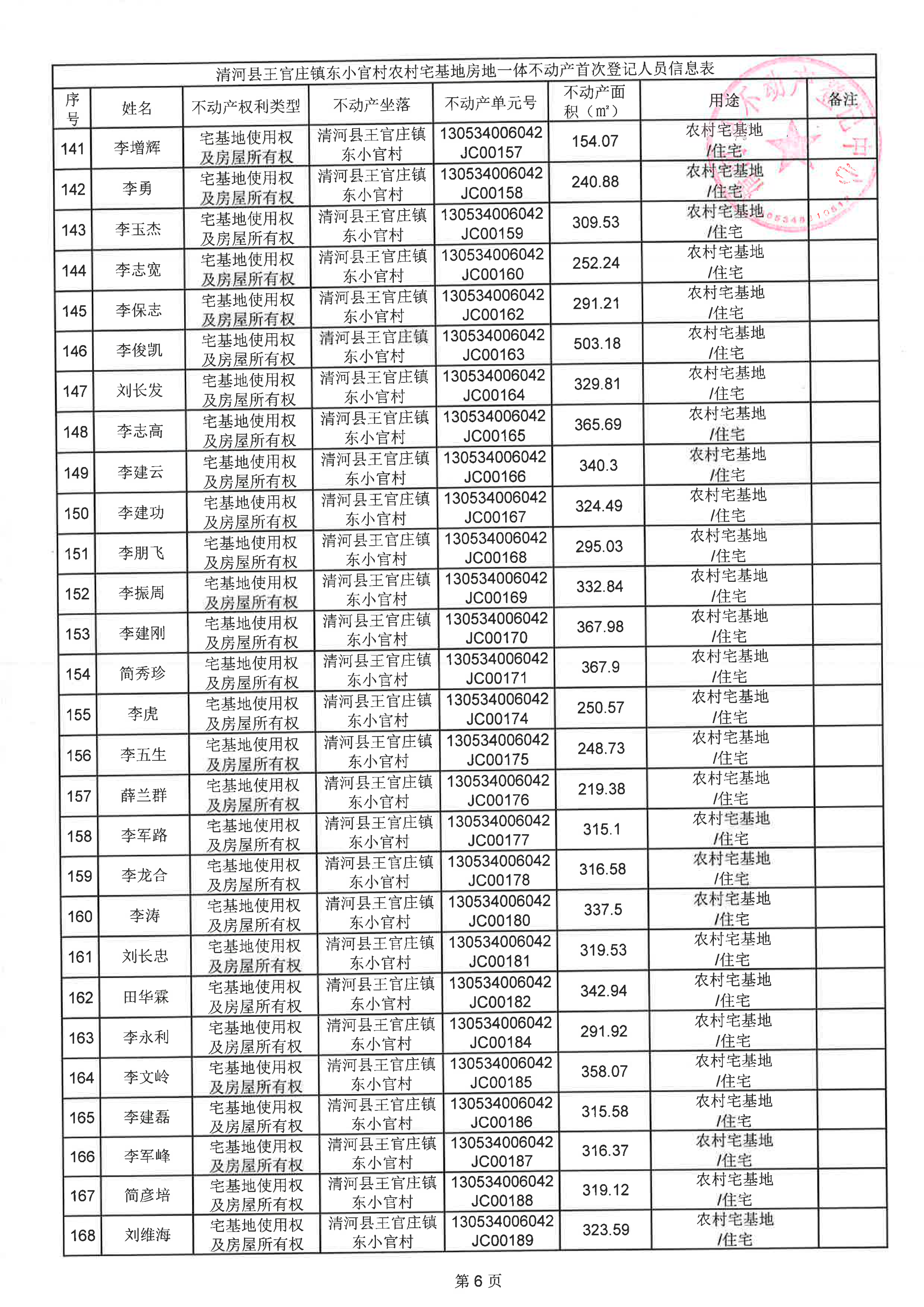
清河县王官庄镇东小官村农村宅基地房地一体不动产首次登记人员信息表
体裁分类:公告公示 主题分类:国土资源、能源 发布时间: 2025-09-26 发布机构:自然资源和规划局 浏览次数:39 字体:[大 中 小]
page_005.png
page_001.png
page_003.png
page_007.png
page_000.png
page_006.png
page_004.png
page_002.png
体裁分类:公告公示 主题分类:国土资源、能源 发布时间: 2025-09-26 发布机构:自然资源和规划局 浏览次数:39 字体:[大 中 小]
page_005.png
page_001.png
page_003.png
page_007.png
page_000.png
page_006.png
page_004.png
page_002.png