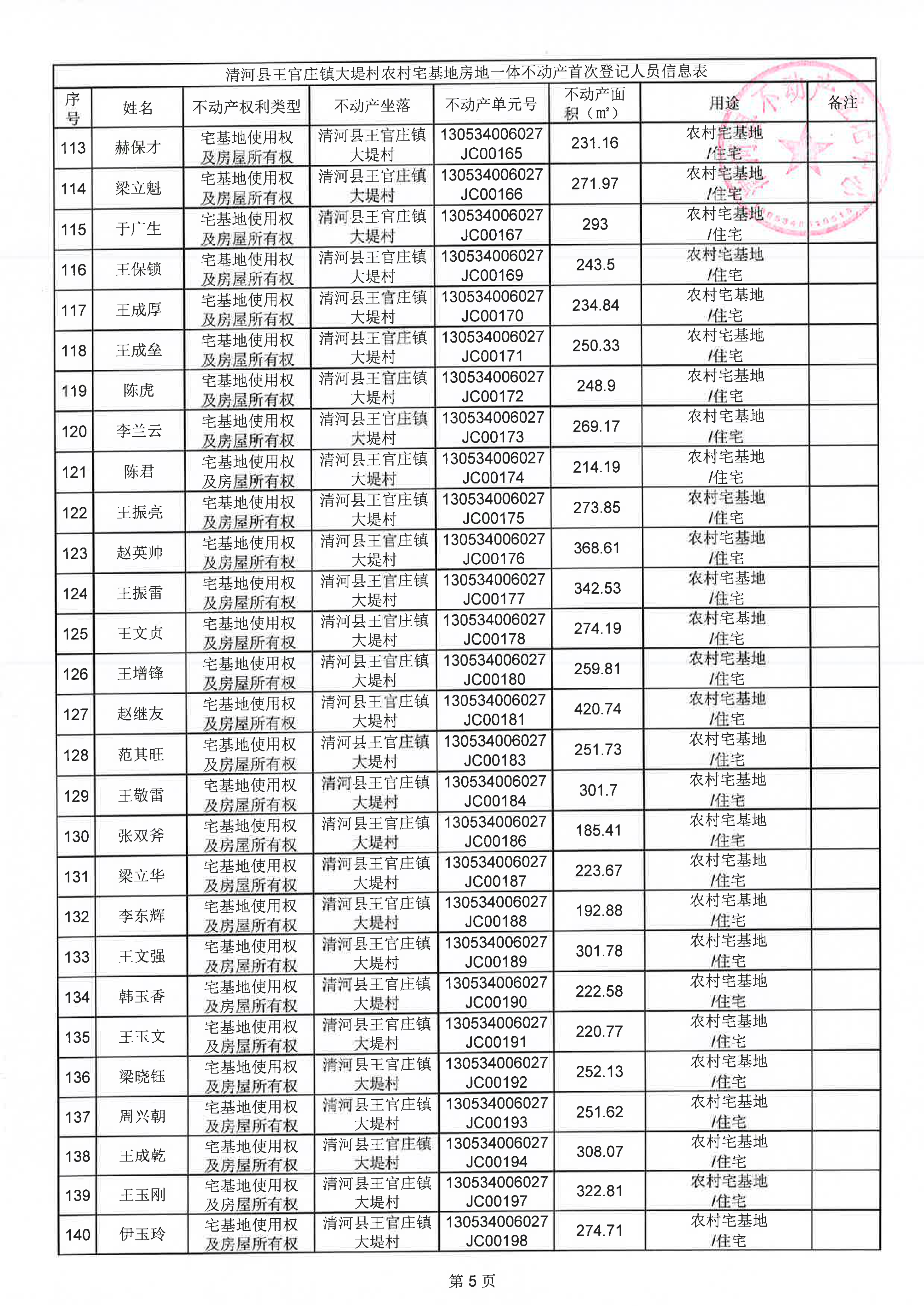
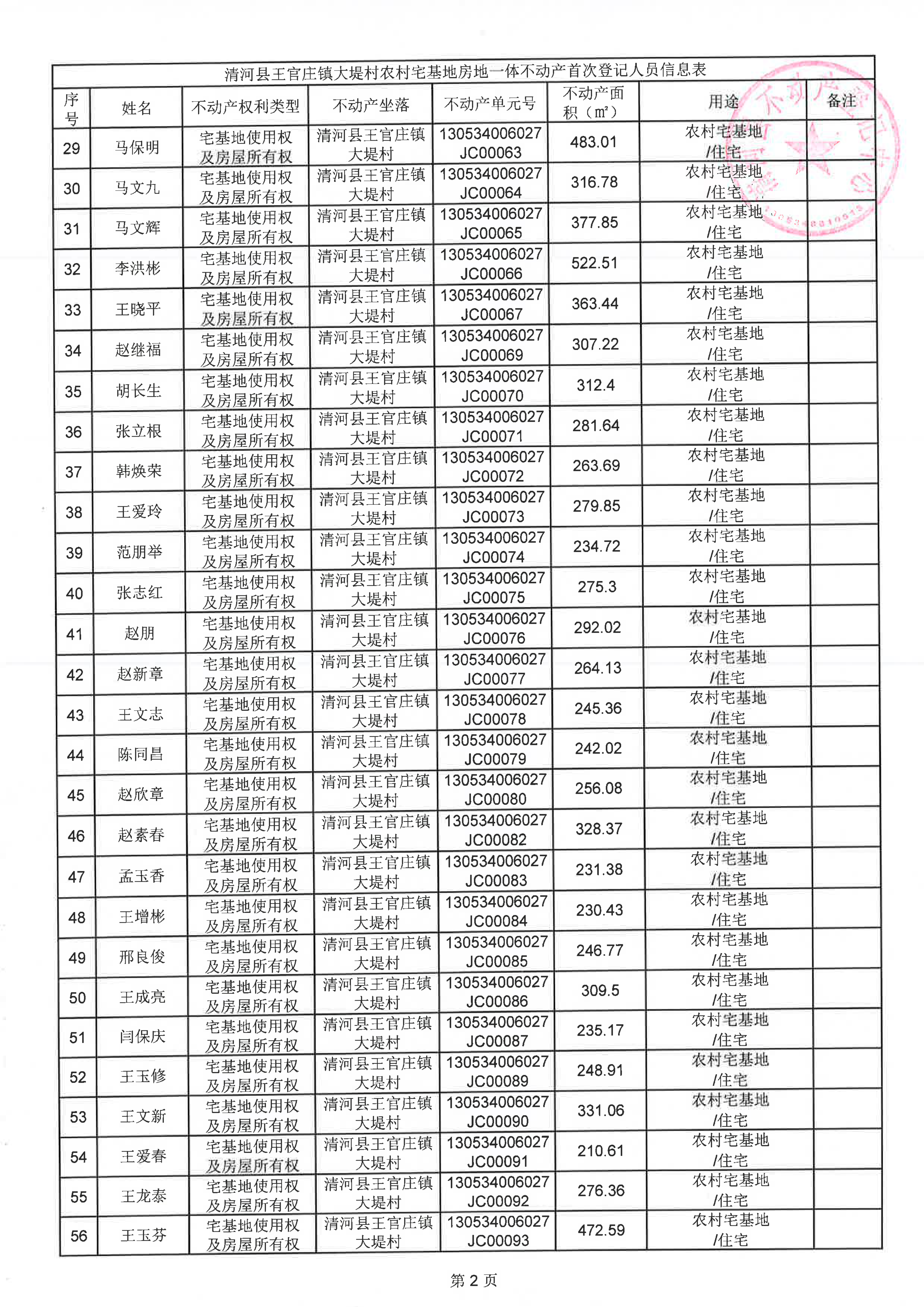
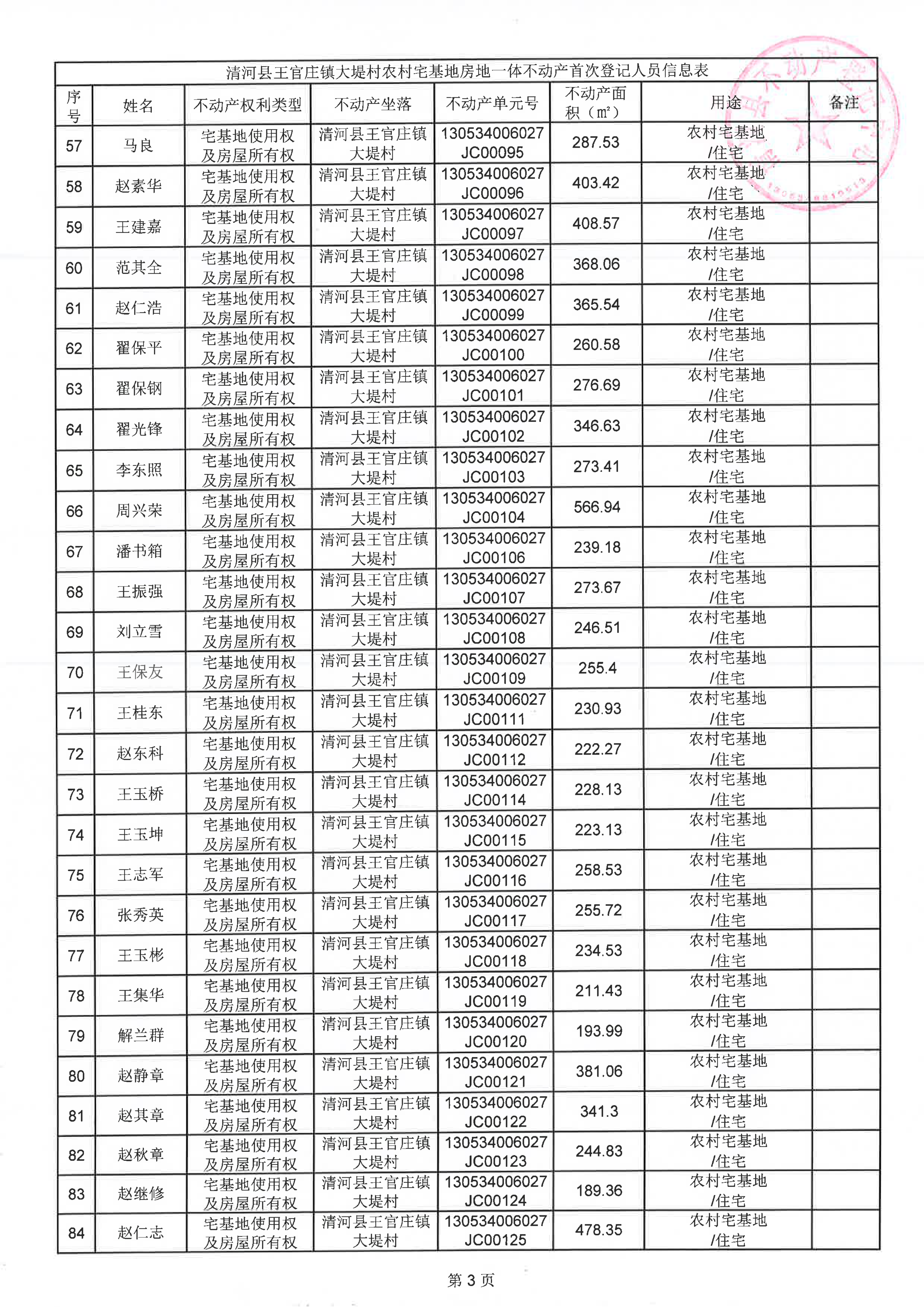
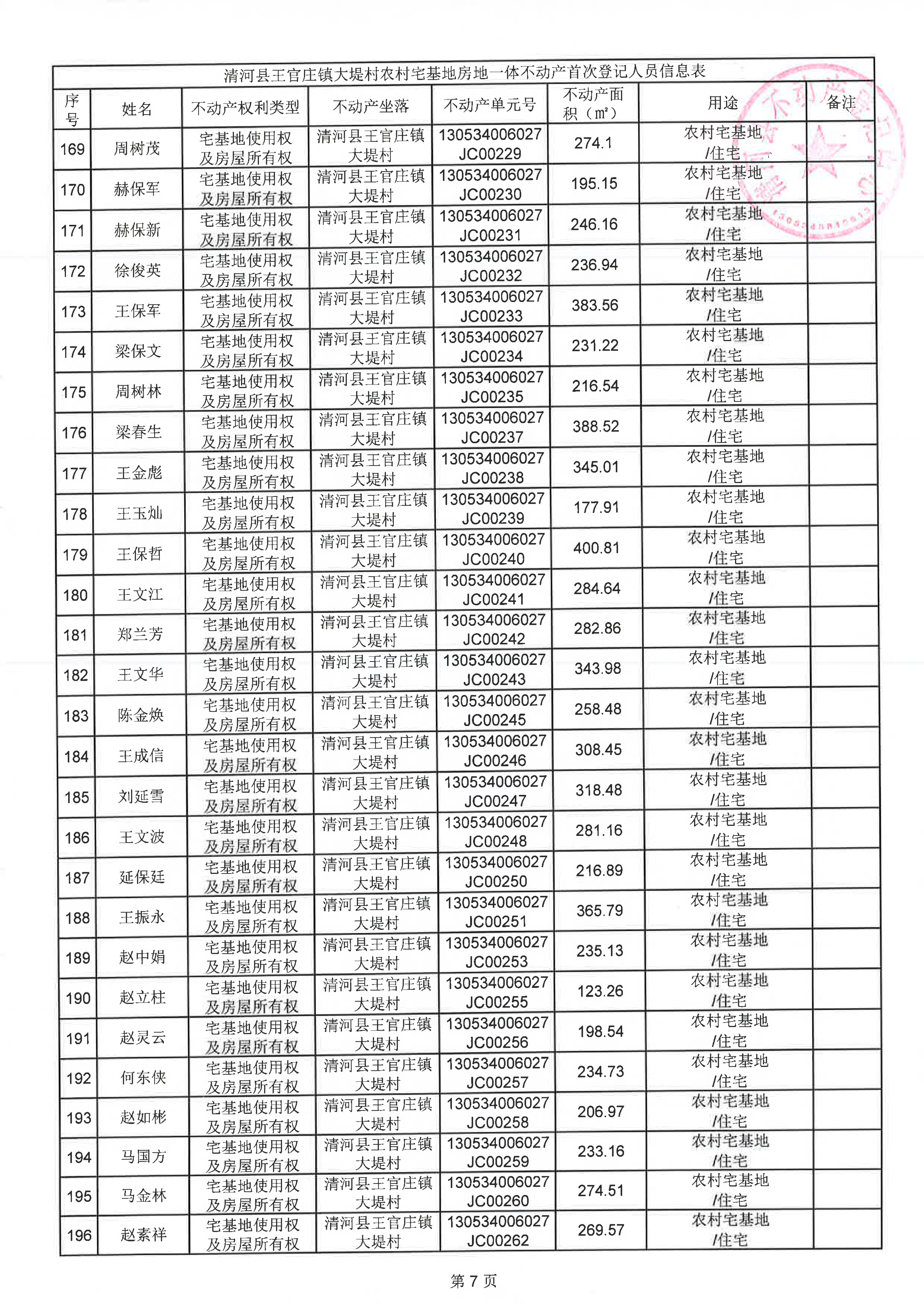
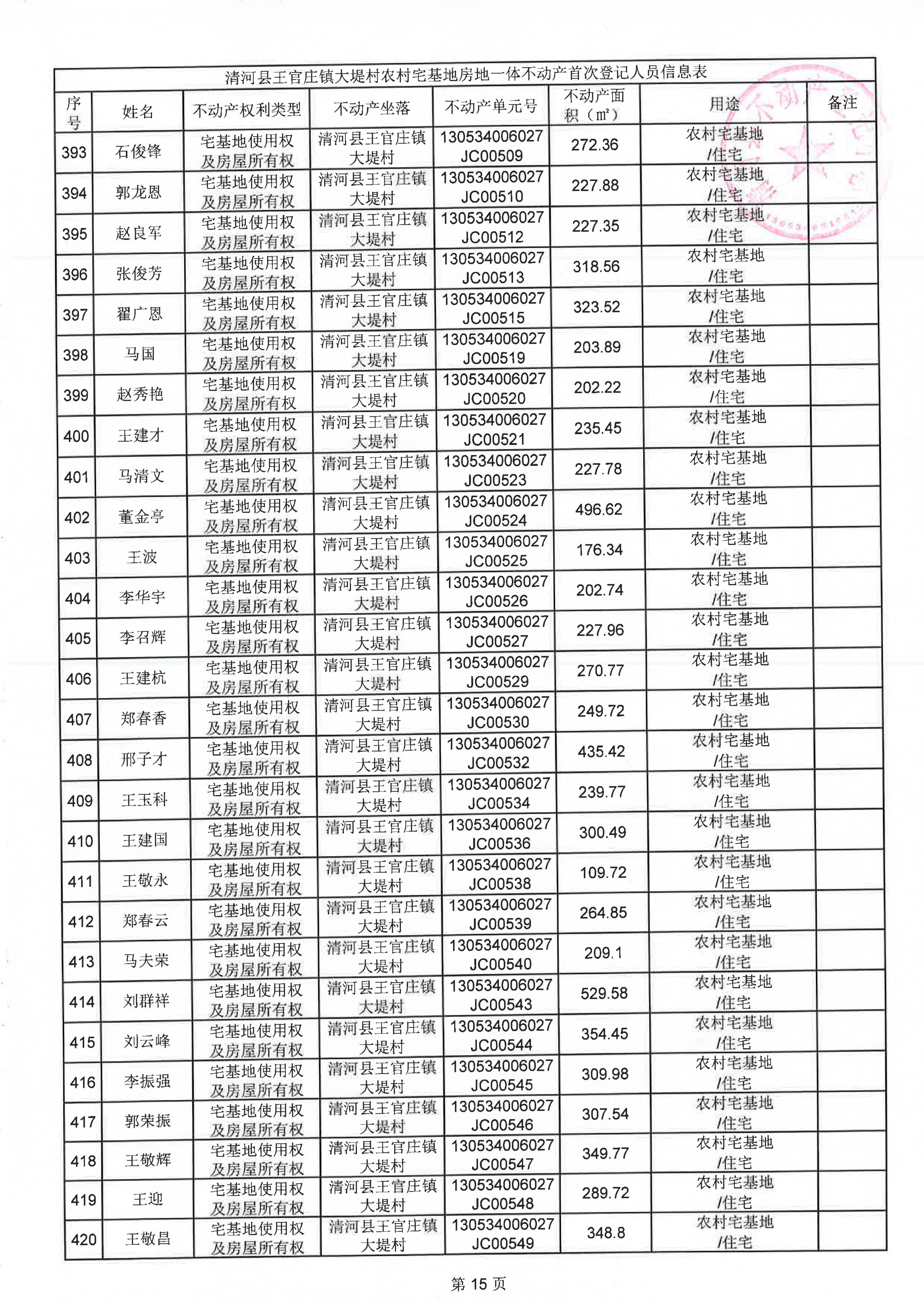
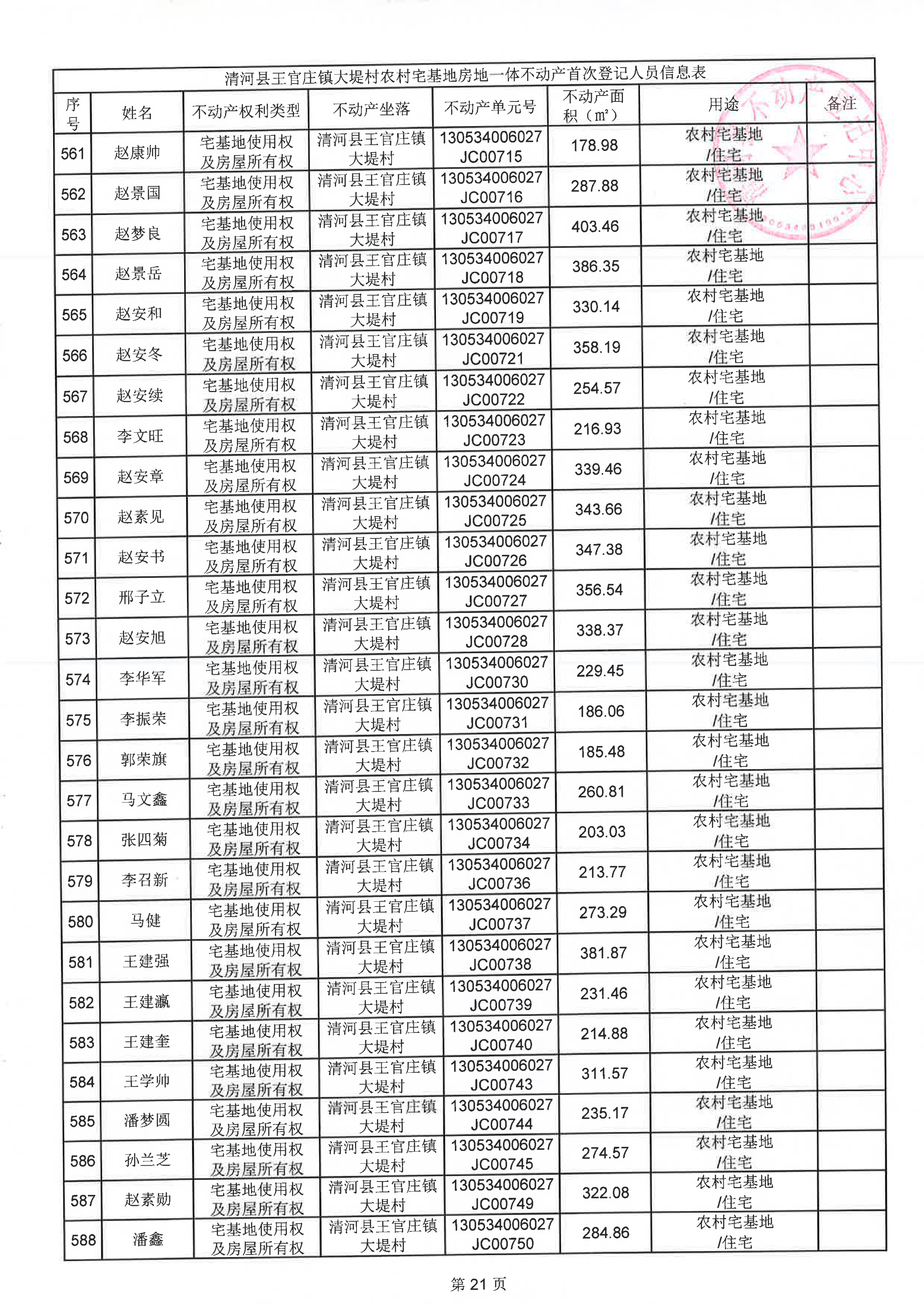
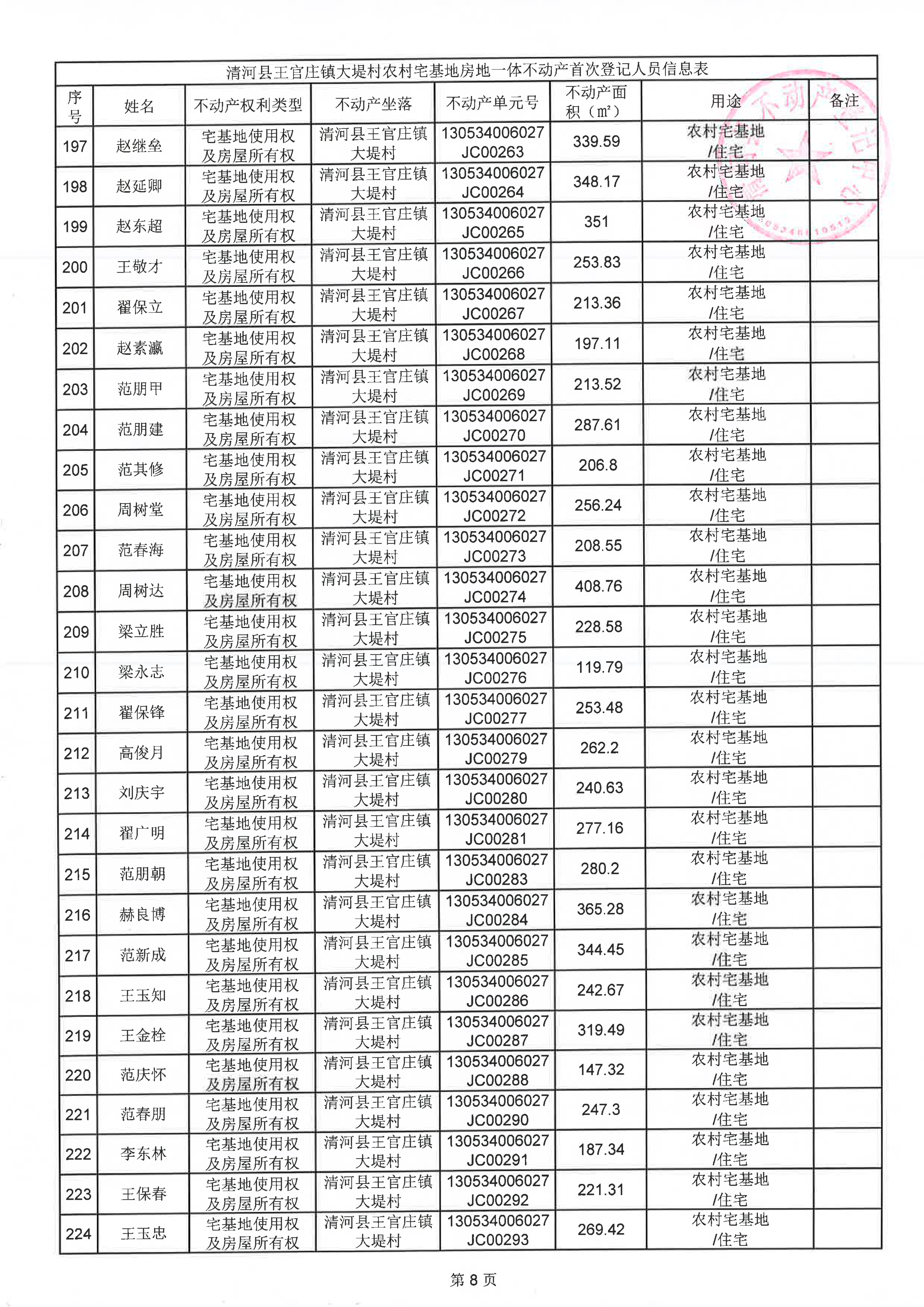
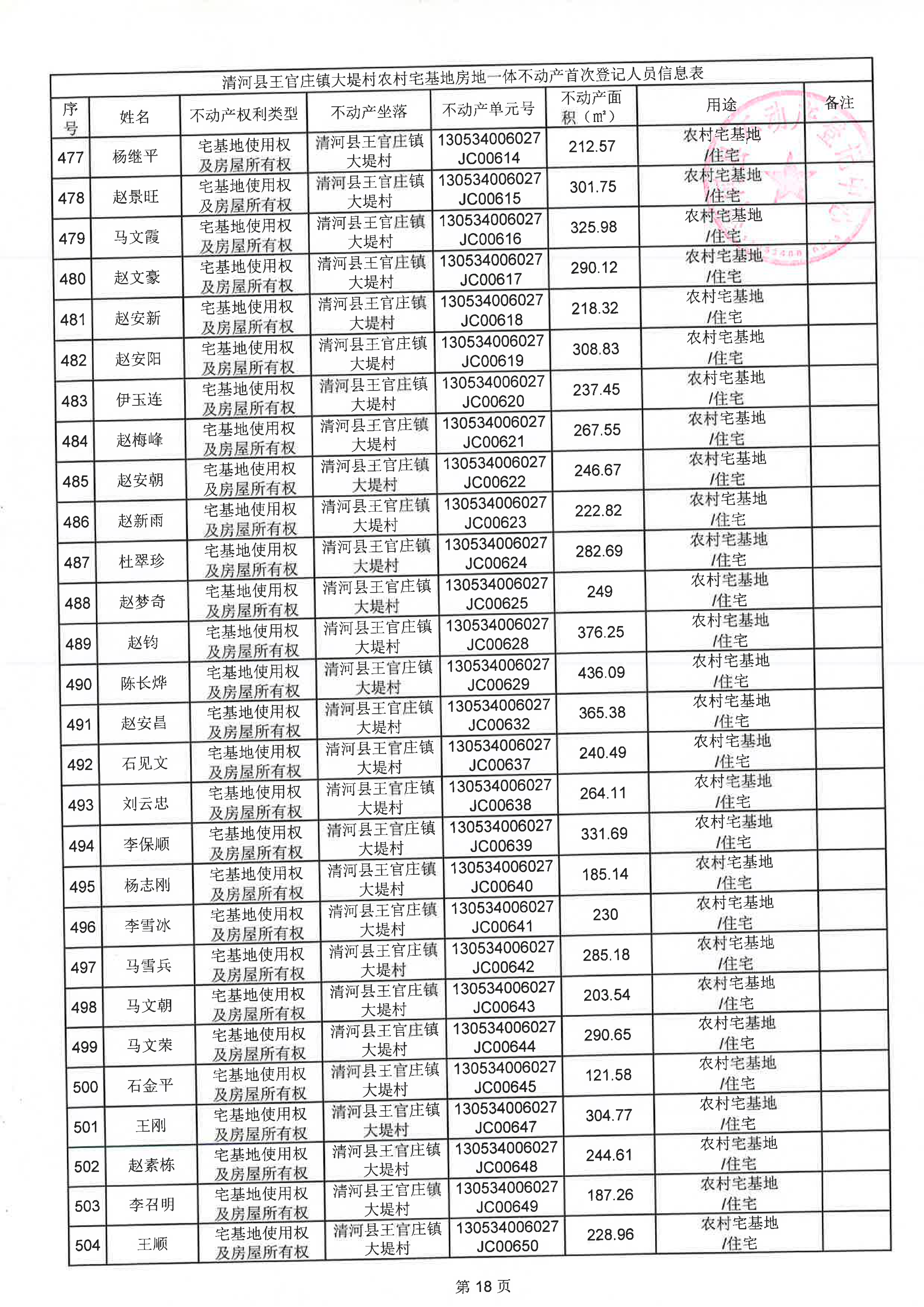
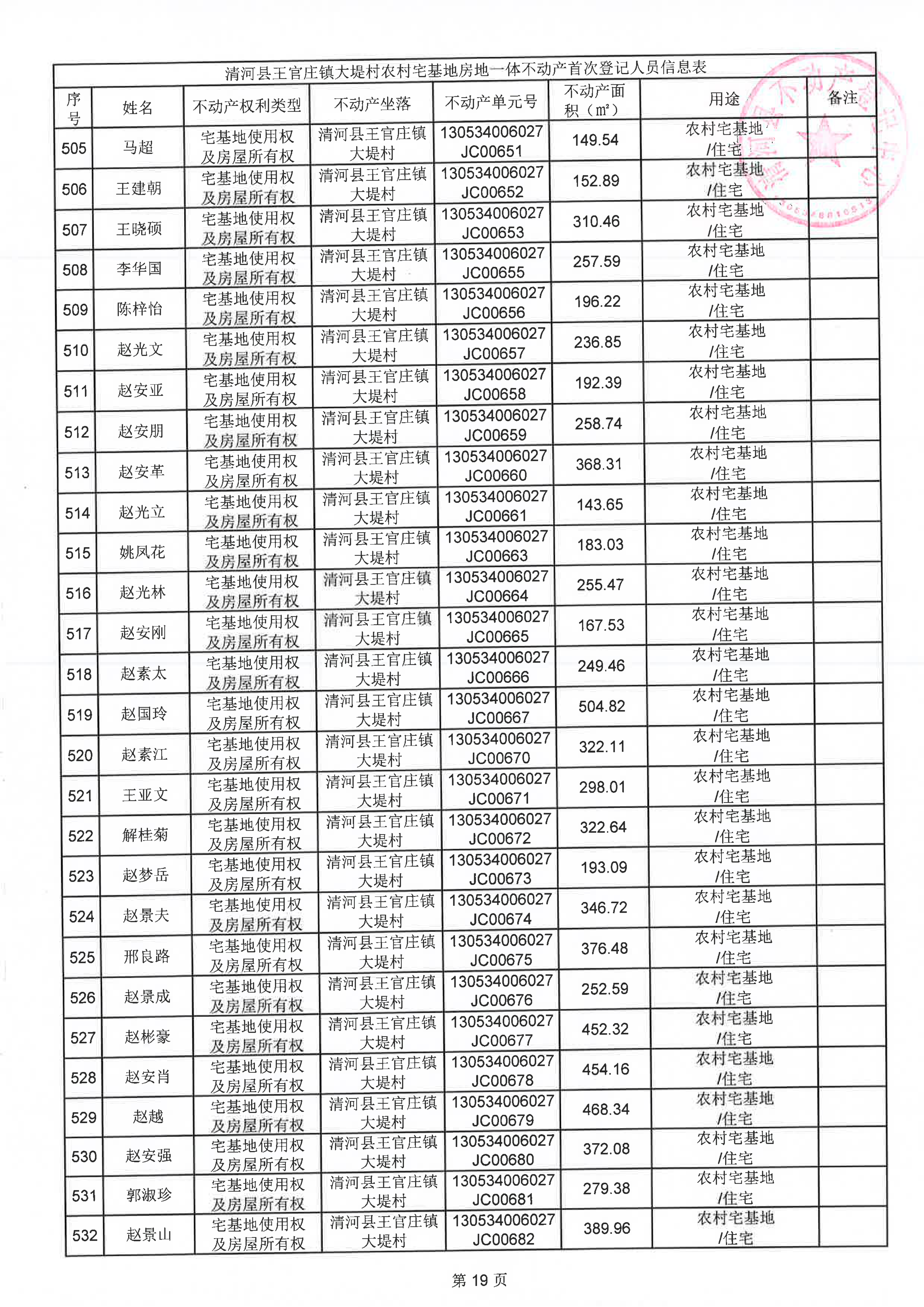
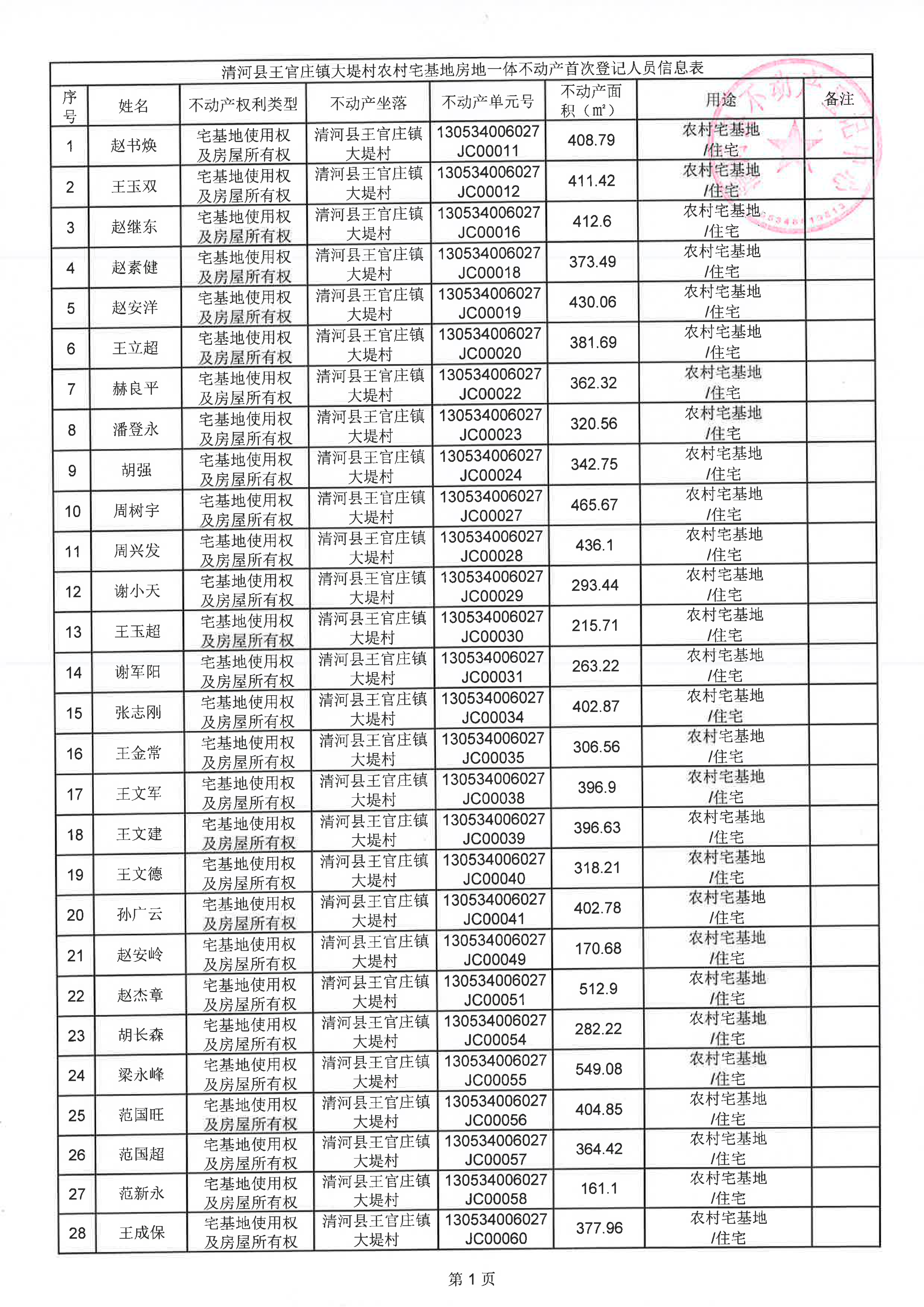
清河县王官庄镇大堤村农村宅基地房地一体不动产首次登记人员信息表
体裁分类:公告公示 主题分类:国土资源、能源 发布时间: 2025-09-26 发布机构:自然资源和规划局 浏览次数:46 字体:[大 中 小]

page_005.png

page_004.png

page_002.png

page_003.png

page_000.png

page_007.png

page_012.png

page_010.png

page_013.png

page_014.png

page_015.png

page_009.png

page_017.png

page_021.png

page_008.png

page_018.png

page_011.png

page_016.png

page_006.png

page_027.png

page_028.png

page_024.png

page_034.png

page_029.png

page_020.png

page_035.png

page_031.png

page_026.png

page_019.png

page_032.png

page_033.png

page_023.png

page_022.png

page_001.png

page_025.png